
Những điều cần biết về lãi kép
Lãi kép giống như phép nhân số tiền bạn giữ trong tài khoản ngân hàng của mình. Trên thực tế, kiếm lãi kép là một điều tuyệt vời vì nó không chỉ là lãi đơn thuần mà bạn nhận được trên một số tiền nhất định. Vậy lãi kép là gì?
Lãi kép là lãi thu được trên tiền gốc (số tiền gốc) cũng như lãi đã thu được. Nó cũng tiếp tục nhân lên hàng năm. Để tính lãi kép theo phương pháp lãi suất đơn giản, chúng ta tính tiền lãi hàng năm một cách độc lập bằng cách sử dụng công thức lãi suất đơn giản. Khi chúng ta cộng lãi năm đầu tiên vào tiền gốc thì nó sẽ là tiền gốc cho năm tiếp theo và cứ tiếp tục như vậy.
Định nghĩa
Tại sao các nhà đầu tư bị tính lãi
Không phải lúc nào bạn cũng bị tính lãi khi vay tiền. Ví dụ, khi vay từ bạn bè, cha mẹ hoặc người thân khác, người cho vay có thể chọn không yêu cầu lãi suất. Tuy nhiên, có một số lý do để tính lãi chính đáng, bao gồm:
Rủi ro vỡ nợ: Có thể người vay không trả được tiền. Rủi ro vỡ nợ là khác nhau đối với mỗi người đi vay; những người đi vay đáng tin cậy hơn có nguy cơ vỡ nợ thấp hơn. Tuy nhiên, luôn có rủi ro và người cho vay phải được bồi thường cho rủi ro này.
Chi phí cơ hội: Người cho vay có thể sử dụng vốn ở nơi khác một cách hiệu quả thay vì cho người vay vay. Bằng cách cho một người đi vay cụ thể vay tiền, người cho vay đóng tất cả các con đường khác để sử dụng nó cho mục đích thu lợi.
Lạm phát: Giá trị của tiền giảm dần theo thời gian vì lạm phát. Nếu 100 đô la được cho vay ngày hôm nay và sẽ được hoàn trả sau 3 năm kể từ bây giờ, thì 100 đô la tương tự sẽ có giá trị chỉ tương đương 98 đô la ngày hôm nay.
Tỷ lệ lãi suất phụ thuộc vào tất cả các yếu tố này nhưng thường có luật cho vay nặng lãi cấm tính lãi suất trên một tỷ lệ nhất định. Trong suốt lịch sử, đã có nhiều luật lệ và tôn giáo nghiêm cấm hành vi cho vay nặng lãi.
Khái niệm lãi kép
Lãi kép là lãi của một khoản tiền gửi được tính dựa trên cả gốc ban đầu và lãi tích lũy từ các kỳ trước. Hay nói một cách đơn giản hơn, lãi kép là tiền lãi mà bạn kiếm được từ tiền lãi. Bạn có thể lãi kép theo các lịch trình tần suất khác nhau như hàng ngày, hàng tháng hoặc hàng năm. Hãy nghĩ về nó như một quả bóng tuyết. Bạn bắt đầu tiết kiệm càng sớm và bạn càng thêm nhiều tiền vào quả cầu tuyết của mình, nó sẽ càng lớn. Bây giờ, hãy nghĩ xem bạn có đẩy quả cầu tuyết xuống một ngọn đồi phủ đầy tuyết không. Bây giờ tuyết bạn đã đóng gói sẽ ở lại và bạn sẽ tích tụ nhiều tuyết hơn. Cuối cùng, khi quả cầu tuyết của bạn chạm đến chân đồi, nó sẽ chứa tuyết mà bạn đã bắt đầu, tuyết mà nó nhặt được trên đường đi và thậm chí còn nhiều tuyết hơn trên đỉnh đồi.
Cách tính lãi kép
Công thức
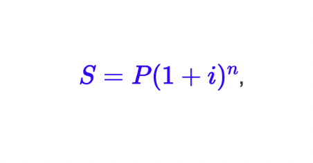
Để tính lãi kép, chúng ta phải xem xét số tiền gốc, được gọi là tiền gốc (giá trị hiện tại), thời gian (khoảng thời gian mà tiền đang được sử dụng), độ dài và số kỳ tính lãi kép (chi tiết bên dưới), và ( lãi suất kép). Có tính đến các yếu tố này, chúng ta có thể sử dụng công thức sau để tính toán giá trị đáo hạn / tương lai của một khoản tiền kiếm lãi kép:

Trong đó:
S là giá trị đáo hạn / tương lai,
P là giá trị gốc / hiện tại,
i là lãi suất định kỳ và
n là tổng số kỳ tính lãi kép.
Mẹo: Chúng ta cũng có thể sắp xếp lại công thức trên để giải quyết cho, giá trị chính (giá trị hiện tại):

Ví dụ
Giả sử rằng chúng ta gửi $ 1000 vào một tài khoản ngân hàng với lãi suất 3%, cộng dồn hàng tháng. Tiền của chúng ta sẽ phát triển như thế nào?
Lãi suất 3% là tỷ lệ phần trăm hàng năm (APR) - tổng số tiền lãi phải trả trong năm. Vì lãi suất được trả hàng tháng, mỗi tháng, chúng ta sẽ kiếm được 3/12= 0,25% mỗi tháng.
Trong tháng đầu tiên,
P0 = $ 1000
r = 0,0025 (0,25%)
I = $ 1000 (0,0025) = $ 2,50
A = $ 1000 + $ 2,50 = $ 1002,50
Trong tháng đầu tiên, chúng ta sẽ kiếm được 2,50 đô la tiền lãi, nâng số dư tài khoản của chúng ta lên 1002,50 đô la.
Trong tháng thứ hai,
P0 = $ 1002,50
I = $ 1002,50 (0,0025) = $ 2,51 (làm tròn)
A = $ 1002,50 + $ 2,51 = $ 1005,01
Lưu ý rằng trong tháng thứ hai, chúng ta kiếm được nhiều tiền hơn so với tháng đầu tiên. Điều này là do chúng ta không chỉ kiếm được tiền lãi trên 1000 đô la ban đầu mà chúng ta đã gửi mà còn kiếm được tiền lãi trên 2,50 đô la tiền lãi mà chúng ta kiếm được trong tháng đầu tiên. Đây là lợi thế chính mà lãi kép mang lại cho chúng ta.
Các yếu tố quan trọng của việc tính lãi kép
Có một số yếu tố quan trọng cần xem xét khi tính lãi kép. Mỗi biến đóng một phần duy nhất trong sản phẩm cuối cùng và một số biến có thể có tác động đáng kể đến lợi nhuận:
Lãi suất: Đây là tỷ lệ lãi suất bạn được hưởng hoặc bị tính phí. Lãi suất càng lớn thì số tiền bạn thu được hoặc nợ càng nhiều.
Số tiền gốc ban đầu: Bạn có bao nhiêu tiền để bắt đầu hoặc bao nhiêu tiền bạn đã vay? Mặc dù lãi kép tăng lên theo thời gian, nhưng nó hoàn toàn được dự đoán dựa trên số tiền gửi hoặc khoản vay ban đầu.
Tần suất cộng gộp: Tốc độ tăng số tiền được xác định theo chu kỳ mà tiền lãi được cộng gộp — hàng ngày, hàng tháng hoặc hàng năm. Đảm bảo bạn hiểu mức độ thường xuyên của lãi suất cho dù bạn vay hoặc tạo tài khoản tiết kiệm.
Thời hạn: Bạn giữ tiền trong tài khoản tiết kiệm hoặc mở nợ càng lâu, thì số tiền đó sẽ càng phức tạp và bạn sẽ càng kiếm được nhiều tiền — hoặc phải trả.
Gửi và Rút tiền: Trong dài hạn, tỷ lệ bạn tạo ra khoản nợ chính hoặc trả hết khoản vay của mình tạo ra sự khác biệt lớn
So sánh lãi đơn và lãi kép
Lãi đơn là gì?
Lãi suất là một khoản phí cho việc vay tiền. Số tiền vay (gốc) càng lớn thì phí càng lớn. Vì vậy tiền lãi thường được tính theo phần trăm trên tiền gốc. Tỷ lệ phần trăm này được gọi là lãi suất. Ví dụ, nếu 100 đô la được vay 10% mỗi năm trong 1 năm, số tiền phải trả vào cuối năm sẽ là 110 đô la.
Công thức toán học để tính lãi đơn:
trong đó r là lãi suất theo kỳ (lãi suất i chia cho số thời kỳ mt), B0 số dư ban đầu và mt số khoảng thời gian đã trôi qua.
So sánh lãi đơn và lãi kép
Trong khi lãi suất kép là "lãi trên tiền lãi" - được tính trên cả số tiền gốc và lãi tích lũy - lãi suất đơn là hoàn toàn khác nhau. Lãi suất đơn chỉ được tính trên số dư gốc ban đầu hoặc số tiền gửi.
Hãy xem ví dụ về tài khoản tiết kiệm 100 đô la, lần này nó đang trả 10% với lãi suất đơn. Điều đó có nghĩa là lãi suất 10% chỉ áp dụng cho số tiền gốc ban đầu của bạn là 100 đô la, do đó bạn kiếm được 10 đô la mỗi năm. Giai đoạn = Stage. Vào cuối năm đầu tiên, bạn sẽ có 110 đô la. Nhưng vào cuối năm thứ hai, bạn sẽ có 120 đô la. Vào cuối năm thứ ba, $ 130 - so với $ 133,10 trong tài khoản lãi kép.
Mặc dù chúng ta đã sử dụng những con số nhỏ ở đây, bạn có thể thấy bạn càng đi xa, lãi kép càng thu được nhiều lợi nhuận - và nó càng vượt xa lãi suất đơn giản.
Lãi suất đơn giản có xu hướng được sử dụng trong hầu hết các khoản vay sinh viên, các khoản thế chấp và các khoản vay trả góp - chẳng hạn như khi bạn trả tiền cho một cửa hàng để mua một thiết bị lớn trong một khoảng thời gian.
Cách sử dụng lãi kép
Cách sử dụng
Cách tốt nhất để tận dụng lãi suất kép là tiết kiệm và đầu tư. Chọn một tài khoản tiết kiệm có lãi - chẳng hạn như tài khoản tiết kiệm năng suất cao, tài khoản thị trường tiền tệ và CD - là một cách để làm cho lãi kép có lợi cho bạn. Khi chọn tài khoản, bạn sẽ muốn tìm một tài khoản có phí tối thiểu và lợi tức phần trăm hàng năm cao nhất (APY), là khoản lãi bạn có thể kiếm được từ khoản tiền gửi của mình trong khoảng thời gian 12 tháng. Cần lưu ý rằng lãi suất của ngay cả các tài khoản tiết kiệm tốt nhất cũng không vượt quá lạm phát, vì vậy chúng tốt nhất cho các khoản tiết kiệm ngắn hạn. Nếu bạn muốn xây dựng sự giàu có lâu dài, cho dù đó là khoản tiết kiệm để nghỉ hưu hay một mục tiêu còn lâu mới đạt được, đầu tư tiền của bạn sẽ thực sự mang lại hiệu quả cho bạn. Các sản phẩm tiết kiệm cung cấp lãi suất thường dao động từ 0,01% đến 3%, tùy thuộc vào tình trạng của nền kinh tế, trong khi tỷ suất sinh lợi trung bình lịch sử trên thị trường chứng khoán là 10%, trước khi điều chỉnh theo lạm phát. Khi mở một tài khoản đầu tư như 401 (k), IRA, tài khoản môi giới hoặc quỹ tương hỗ, bạn có tùy chọn tự động tái đầu tư cổ tức hoặc tiền lãi mà khoản đầu tư của bạn kiếm được. Làm như vậy có nghĩa là lợi nhuận của bạn sẽ tăng lên.
Các nhà đầu tư có thể tận dụng lãi suất kép bằng cách thực hiện những việc sau:
Tiết kiệm sớm: Sức mạnh của lãi kép đến từ thời gian. Bạn để tiền trong tài khoản tiết kiệm hoặc đầu tư vào thị trường càng lâu thì tiền lãi có thể tích lũy càng nhiều. Thời gian tiền của bạn ở trong tài khoản càng nhiều, thì lãi kép có thể xảy ra càng nhiều, nghĩa là bạn có thể kiếm thêm tiền lãi trên số tiền lãi kiếm được. Hãy xem xét một ví dụ về một người tiết kiệm 10.000 đô la một năm trong 10 năm, và sau đó ngừng tiết kiệm, so với một người tiết kiệm 2.500 đô la một năm trong 40 năm. Giả sử cả hai người gửi tiết kiệm đều kiếm được 7% lợi nhuận hàng năm, cộng lại hàng ngày, thì đây là số tiền họ sẽ có vào cuối 40 năm: $ 1,388,623 $ 612,116. Tiết kiệm 10.000 đô la một năm trong 10 năm, sau đó không có gì trong 30 năm Tiết kiệm 2.500 đô la một năm trong 40 năm. Cả hai người đều tiết kiệm được số tiền tổng thể là 100.000 đô la như nhau, nhưng người tiết kiệm sớm hơn sẽ kiếm được nhiều hơn vào cuối 40 năm. Ngay cả những người tiết kiệm được 200.000 đô la, hoặc gấp đôi trong suốt 40 năm, cũng chỉ kiếm được ít hơn - 1.224.232 đô la - bởi vì ban đầu tiết kiệm được một số tiền nhỏ hơn.
Kiểm tra APY: Lãi suất của tài khoản càng cao, bạn sẽ kiếm được càng nhiều tiền lãi từ số tiền bạn đưa vào tài khoản và bạn sẽ kiếm được càng nhiều lãi suất kép. Mặc dù lãi suất đơn giản là một thước đo tốt để sử dụng, nhưng lợi suất phần trăm hàng năm (APY) là một số liệu tốt hơn để xem xét. APY cho biết lãi suất thực tế của một tài khoản, bao gồm tất cả các khoản lãi kép. Nếu bạn đặt 1.000 đô la vào tài khoản trả lãi 1 phần trăm mỗi năm, bạn có thể kiếm được hơn 1.010 đô la trong tài khoản sau một năm nếu lãi suất cộng dồn thường xuyên hơn hàng năm. So sánh APY chứ không phải lãi suất của hai tài khoản sẽ cho thấy tài khoản nào thực sự trả lãi nhiều hơn.
Kiểm tra tần suất ghép lãi: Khi so sánh các tài khoản, đừng chỉ nhìn vào APY. Cũng xem xét mức độ quan tâm của mỗi hợp chất. Lãi suất thường càng được cộng gộp càng tốt. Khi so sánh hai tài khoản có cùng lãi suất, tài khoản nào có lãi suất kép thường xuyên hơn có thể có lợi suất cao hơn, nghĩa là nó có thể trả nhiều lãi hơn trên cùng một số dư tài khoản.
Nhược điểm của lãi kép
Vì lãi kép có lợi có thể dành cho tiết kiệm, đầu tư và tạo ra của cải, điều quan trọng cần lưu ý là nó có thể chống lại bạn nếu bạn đang trả hết nợ. Trên thực tế, lãi kép là một phần nguyên nhân khiến việc mang theo số dư thẻ tín dụng chưa thanh toán trở nên tốn kém.
Trên thực tế, ví dụ trên có thể bị đảo lộn bằng cách tưởng tượng rằng bạn mang số dư $ 10.000 trong thẻ tín dụng (chúng ta sẽ giả định rằng đó là 4% cộng lại hàng ngày, mặc dù APR của thẻ tín dụng thường cao hơn nhiều). Bạn có kế hoạch không ghi bất kỳ thứ gì khác vào thẻ và sẽ trả hết trong năm năm. Mặc dù bạn đang cắt giảm số dư của mình và trả một mức lãi suất cực kỳ thấp, bạn vẫn có thể phải trả rất nhiều khoản phí lãi suất - trên thực tế là hơn 1.000 đô la.
Và nếu bạn bị tính phí gộp 18% hàng ngày - gần với lãi suất thẻ tín dụng trung bình - bạn sẽ phải trả 5.236 đô la tiền lãi sau năm năm. Đó là một khoản chi phí bổ sung đáng kể và có thể khiến việc thanh toán số dư của bạn khó khăn hơn nhiều.
Kết luận
Lãi suất gộp có thể có lợi hoặc chống lại bạn tùy thuộc vào việc bạn đang vay hay gửi tiết kiệm. May mắn thay, bạn không cần phải là một thiên tài toán học để hiểu liệu lãi suất trên một tài khoản sẽ giúp ích hay làm hại bạn. Nếu bạn đang vay tiền, bạn muốn có mức lãi suất thấp nhất có thể, càng ít càng tốt. Nếu bạn đang đầu tư tiền, điều ngược lại sẽ áp dụng: Bạn không chỉ muốn có một mức lãi suất tốt, mà còn phải có một mức lãi suất sớm và thường xuyên. Và khi so sánh các khoản cho vay, APR của thẻ tín dụng, APY của tài khoản tiết kiệm hoặc lợi tức của các chứng khoán khác - hãy kiểm tra tần suất mà các hợp chất lãi suất và đảm bảo rằng bạn đang so sánh như thế nào. Về mặt danh nghĩa, hai mức lãi suất có thể giống nhau, nhưng nếu chúng kết hợp với nhau ở các tốc độ khác nhau, nó có thể tạo ra sự khác biệt lớn. Cho dù kiếm được hay trả nó, bản chất của lãi suất kép có nghĩa là nhận được nó sớm hơn sẽ tốt hơn cho ví của bạn theo cấp số nhân.
Lãi kép là lãi thu được trên tiền gốc (số tiền gốc) cũng như lãi đã thu được. Nó cũng tiếp tục nhân lên hàng năm. Để tính lãi kép theo phương pháp lãi suất đơn giản, chúng ta tính tiền lãi hàng năm một cách độc lập bằng cách sử dụng công thức lãi suất đơn giản. Khi chúng ta cộng lãi năm đầu tiên vào tiền gốc thì nó sẽ là tiền gốc cho năm tiếp theo và cứ tiếp tục như vậy.
Định nghĩa
Tại sao các nhà đầu tư bị tính lãi
Không phải lúc nào bạn cũng bị tính lãi khi vay tiền. Ví dụ, khi vay từ bạn bè, cha mẹ hoặc người thân khác, người cho vay có thể chọn không yêu cầu lãi suất. Tuy nhiên, có một số lý do để tính lãi chính đáng, bao gồm:
Rủi ro vỡ nợ: Có thể người vay không trả được tiền. Rủi ro vỡ nợ là khác nhau đối với mỗi người đi vay; những người đi vay đáng tin cậy hơn có nguy cơ vỡ nợ thấp hơn. Tuy nhiên, luôn có rủi ro và người cho vay phải được bồi thường cho rủi ro này.
Chi phí cơ hội: Người cho vay có thể sử dụng vốn ở nơi khác một cách hiệu quả thay vì cho người vay vay. Bằng cách cho một người đi vay cụ thể vay tiền, người cho vay đóng tất cả các con đường khác để sử dụng nó cho mục đích thu lợi.
Lạm phát: Giá trị của tiền giảm dần theo thời gian vì lạm phát. Nếu 100 đô la được cho vay ngày hôm nay và sẽ được hoàn trả sau 3 năm kể từ bây giờ, thì 100 đô la tương tự sẽ có giá trị chỉ tương đương 98 đô la ngày hôm nay.
Tỷ lệ lãi suất phụ thuộc vào tất cả các yếu tố này nhưng thường có luật cho vay nặng lãi cấm tính lãi suất trên một tỷ lệ nhất định. Trong suốt lịch sử, đã có nhiều luật lệ và tôn giáo nghiêm cấm hành vi cho vay nặng lãi.
Khái niệm lãi kép
Lãi kép là lãi của một khoản tiền gửi được tính dựa trên cả gốc ban đầu và lãi tích lũy từ các kỳ trước. Hay nói một cách đơn giản hơn, lãi kép là tiền lãi mà bạn kiếm được từ tiền lãi. Bạn có thể lãi kép theo các lịch trình tần suất khác nhau như hàng ngày, hàng tháng hoặc hàng năm. Hãy nghĩ về nó như một quả bóng tuyết. Bạn bắt đầu tiết kiệm càng sớm và bạn càng thêm nhiều tiền vào quả cầu tuyết của mình, nó sẽ càng lớn. Bây giờ, hãy nghĩ xem bạn có đẩy quả cầu tuyết xuống một ngọn đồi phủ đầy tuyết không. Bây giờ tuyết bạn đã đóng gói sẽ ở lại và bạn sẽ tích tụ nhiều tuyết hơn. Cuối cùng, khi quả cầu tuyết của bạn chạm đến chân đồi, nó sẽ chứa tuyết mà bạn đã bắt đầu, tuyết mà nó nhặt được trên đường đi và thậm chí còn nhiều tuyết hơn trên đỉnh đồi.
Cách tính lãi kép
Công thức
Để tính lãi kép, chúng ta phải xem xét số tiền gốc, được gọi là tiền gốc (giá trị hiện tại), thời gian (khoảng thời gian mà tiền đang được sử dụng), độ dài và số kỳ tính lãi kép (chi tiết bên dưới), và ( lãi suất kép). Có tính đến các yếu tố này, chúng ta có thể sử dụng công thức sau để tính toán giá trị đáo hạn / tương lai của một khoản tiền kiếm lãi kép:

Trong đó:
S là giá trị đáo hạn / tương lai,
P là giá trị gốc / hiện tại,
i là lãi suất định kỳ và
n là tổng số kỳ tính lãi kép.
Mẹo: Chúng ta cũng có thể sắp xếp lại công thức trên để giải quyết cho, giá trị chính (giá trị hiện tại):

Ví dụ
Giả sử rằng chúng ta gửi $ 1000 vào một tài khoản ngân hàng với lãi suất 3%, cộng dồn hàng tháng. Tiền của chúng ta sẽ phát triển như thế nào?
Lãi suất 3% là tỷ lệ phần trăm hàng năm (APR) - tổng số tiền lãi phải trả trong năm. Vì lãi suất được trả hàng tháng, mỗi tháng, chúng ta sẽ kiếm được 3/12= 0,25% mỗi tháng.
Trong tháng đầu tiên,
P0 = $ 1000
r = 0,0025 (0,25%)
I = $ 1000 (0,0025) = $ 2,50
A = $ 1000 + $ 2,50 = $ 1002,50
Trong tháng đầu tiên, chúng ta sẽ kiếm được 2,50 đô la tiền lãi, nâng số dư tài khoản của chúng ta lên 1002,50 đô la.
Trong tháng thứ hai,
P0 = $ 1002,50
I = $ 1002,50 (0,0025) = $ 2,51 (làm tròn)
A = $ 1002,50 + $ 2,51 = $ 1005,01
Lưu ý rằng trong tháng thứ hai, chúng ta kiếm được nhiều tiền hơn so với tháng đầu tiên. Điều này là do chúng ta không chỉ kiếm được tiền lãi trên 1000 đô la ban đầu mà chúng ta đã gửi mà còn kiếm được tiền lãi trên 2,50 đô la tiền lãi mà chúng ta kiếm được trong tháng đầu tiên. Đây là lợi thế chính mà lãi kép mang lại cho chúng ta.
Các yếu tố quan trọng của việc tính lãi kép
Có một số yếu tố quan trọng cần xem xét khi tính lãi kép. Mỗi biến đóng một phần duy nhất trong sản phẩm cuối cùng và một số biến có thể có tác động đáng kể đến lợi nhuận:
Lãi suất: Đây là tỷ lệ lãi suất bạn được hưởng hoặc bị tính phí. Lãi suất càng lớn thì số tiền bạn thu được hoặc nợ càng nhiều.
Số tiền gốc ban đầu: Bạn có bao nhiêu tiền để bắt đầu hoặc bao nhiêu tiền bạn đã vay? Mặc dù lãi kép tăng lên theo thời gian, nhưng nó hoàn toàn được dự đoán dựa trên số tiền gửi hoặc khoản vay ban đầu.
Tần suất cộng gộp: Tốc độ tăng số tiền được xác định theo chu kỳ mà tiền lãi được cộng gộp — hàng ngày, hàng tháng hoặc hàng năm. Đảm bảo bạn hiểu mức độ thường xuyên của lãi suất cho dù bạn vay hoặc tạo tài khoản tiết kiệm.
Thời hạn: Bạn giữ tiền trong tài khoản tiết kiệm hoặc mở nợ càng lâu, thì số tiền đó sẽ càng phức tạp và bạn sẽ càng kiếm được nhiều tiền — hoặc phải trả.
Gửi và Rút tiền: Trong dài hạn, tỷ lệ bạn tạo ra khoản nợ chính hoặc trả hết khoản vay của mình tạo ra sự khác biệt lớn
So sánh lãi đơn và lãi kép
Lãi đơn là gì?
Lãi suất là một khoản phí cho việc vay tiền. Số tiền vay (gốc) càng lớn thì phí càng lớn. Vì vậy tiền lãi thường được tính theo phần trăm trên tiền gốc. Tỷ lệ phần trăm này được gọi là lãi suất. Ví dụ, nếu 100 đô la được vay 10% mỗi năm trong 1 năm, số tiền phải trả vào cuối năm sẽ là 110 đô la.
Công thức toán học để tính lãi đơn:
trong đó r là lãi suất theo kỳ (lãi suất i chia cho số thời kỳ mt), B0 số dư ban đầu và mt số khoảng thời gian đã trôi qua.
So sánh lãi đơn và lãi kép
Trong khi lãi suất kép là "lãi trên tiền lãi" - được tính trên cả số tiền gốc và lãi tích lũy - lãi suất đơn là hoàn toàn khác nhau. Lãi suất đơn chỉ được tính trên số dư gốc ban đầu hoặc số tiền gửi.
Hãy xem ví dụ về tài khoản tiết kiệm 100 đô la, lần này nó đang trả 10% với lãi suất đơn. Điều đó có nghĩa là lãi suất 10% chỉ áp dụng cho số tiền gốc ban đầu của bạn là 100 đô la, do đó bạn kiếm được 10 đô la mỗi năm. Giai đoạn = Stage. Vào cuối năm đầu tiên, bạn sẽ có 110 đô la. Nhưng vào cuối năm thứ hai, bạn sẽ có 120 đô la. Vào cuối năm thứ ba, $ 130 - so với $ 133,10 trong tài khoản lãi kép.
Mặc dù chúng ta đã sử dụng những con số nhỏ ở đây, bạn có thể thấy bạn càng đi xa, lãi kép càng thu được nhiều lợi nhuận - và nó càng vượt xa lãi suất đơn giản.
Lãi suất đơn giản có xu hướng được sử dụng trong hầu hết các khoản vay sinh viên, các khoản thế chấp và các khoản vay trả góp - chẳng hạn như khi bạn trả tiền cho một cửa hàng để mua một thiết bị lớn trong một khoảng thời gian.
Cách sử dụng lãi kép
Cách sử dụng
Cách tốt nhất để tận dụng lãi suất kép là tiết kiệm và đầu tư. Chọn một tài khoản tiết kiệm có lãi - chẳng hạn như tài khoản tiết kiệm năng suất cao, tài khoản thị trường tiền tệ và CD - là một cách để làm cho lãi kép có lợi cho bạn. Khi chọn tài khoản, bạn sẽ muốn tìm một tài khoản có phí tối thiểu và lợi tức phần trăm hàng năm cao nhất (APY), là khoản lãi bạn có thể kiếm được từ khoản tiền gửi của mình trong khoảng thời gian 12 tháng. Cần lưu ý rằng lãi suất của ngay cả các tài khoản tiết kiệm tốt nhất cũng không vượt quá lạm phát, vì vậy chúng tốt nhất cho các khoản tiết kiệm ngắn hạn. Nếu bạn muốn xây dựng sự giàu có lâu dài, cho dù đó là khoản tiết kiệm để nghỉ hưu hay một mục tiêu còn lâu mới đạt được, đầu tư tiền của bạn sẽ thực sự mang lại hiệu quả cho bạn. Các sản phẩm tiết kiệm cung cấp lãi suất thường dao động từ 0,01% đến 3%, tùy thuộc vào tình trạng của nền kinh tế, trong khi tỷ suất sinh lợi trung bình lịch sử trên thị trường chứng khoán là 10%, trước khi điều chỉnh theo lạm phát. Khi mở một tài khoản đầu tư như 401 (k), IRA, tài khoản môi giới hoặc quỹ tương hỗ, bạn có tùy chọn tự động tái đầu tư cổ tức hoặc tiền lãi mà khoản đầu tư của bạn kiếm được. Làm như vậy có nghĩa là lợi nhuận của bạn sẽ tăng lên.
Các nhà đầu tư có thể tận dụng lãi suất kép bằng cách thực hiện những việc sau:
Tiết kiệm sớm: Sức mạnh của lãi kép đến từ thời gian. Bạn để tiền trong tài khoản tiết kiệm hoặc đầu tư vào thị trường càng lâu thì tiền lãi có thể tích lũy càng nhiều. Thời gian tiền của bạn ở trong tài khoản càng nhiều, thì lãi kép có thể xảy ra càng nhiều, nghĩa là bạn có thể kiếm thêm tiền lãi trên số tiền lãi kiếm được. Hãy xem xét một ví dụ về một người tiết kiệm 10.000 đô la một năm trong 10 năm, và sau đó ngừng tiết kiệm, so với một người tiết kiệm 2.500 đô la một năm trong 40 năm. Giả sử cả hai người gửi tiết kiệm đều kiếm được 7% lợi nhuận hàng năm, cộng lại hàng ngày, thì đây là số tiền họ sẽ có vào cuối 40 năm: $ 1,388,623 $ 612,116. Tiết kiệm 10.000 đô la một năm trong 10 năm, sau đó không có gì trong 30 năm Tiết kiệm 2.500 đô la một năm trong 40 năm. Cả hai người đều tiết kiệm được số tiền tổng thể là 100.000 đô la như nhau, nhưng người tiết kiệm sớm hơn sẽ kiếm được nhiều hơn vào cuối 40 năm. Ngay cả những người tiết kiệm được 200.000 đô la, hoặc gấp đôi trong suốt 40 năm, cũng chỉ kiếm được ít hơn - 1.224.232 đô la - bởi vì ban đầu tiết kiệm được một số tiền nhỏ hơn.
Kiểm tra APY: Lãi suất của tài khoản càng cao, bạn sẽ kiếm được càng nhiều tiền lãi từ số tiền bạn đưa vào tài khoản và bạn sẽ kiếm được càng nhiều lãi suất kép. Mặc dù lãi suất đơn giản là một thước đo tốt để sử dụng, nhưng lợi suất phần trăm hàng năm (APY) là một số liệu tốt hơn để xem xét. APY cho biết lãi suất thực tế của một tài khoản, bao gồm tất cả các khoản lãi kép. Nếu bạn đặt 1.000 đô la vào tài khoản trả lãi 1 phần trăm mỗi năm, bạn có thể kiếm được hơn 1.010 đô la trong tài khoản sau một năm nếu lãi suất cộng dồn thường xuyên hơn hàng năm. So sánh APY chứ không phải lãi suất của hai tài khoản sẽ cho thấy tài khoản nào thực sự trả lãi nhiều hơn.
Kiểm tra tần suất ghép lãi: Khi so sánh các tài khoản, đừng chỉ nhìn vào APY. Cũng xem xét mức độ quan tâm của mỗi hợp chất. Lãi suất thường càng được cộng gộp càng tốt. Khi so sánh hai tài khoản có cùng lãi suất, tài khoản nào có lãi suất kép thường xuyên hơn có thể có lợi suất cao hơn, nghĩa là nó có thể trả nhiều lãi hơn trên cùng một số dư tài khoản.
Nhược điểm của lãi kép
Vì lãi kép có lợi có thể dành cho tiết kiệm, đầu tư và tạo ra của cải, điều quan trọng cần lưu ý là nó có thể chống lại bạn nếu bạn đang trả hết nợ. Trên thực tế, lãi kép là một phần nguyên nhân khiến việc mang theo số dư thẻ tín dụng chưa thanh toán trở nên tốn kém.
Trên thực tế, ví dụ trên có thể bị đảo lộn bằng cách tưởng tượng rằng bạn mang số dư $ 10.000 trong thẻ tín dụng (chúng ta sẽ giả định rằng đó là 4% cộng lại hàng ngày, mặc dù APR của thẻ tín dụng thường cao hơn nhiều). Bạn có kế hoạch không ghi bất kỳ thứ gì khác vào thẻ và sẽ trả hết trong năm năm. Mặc dù bạn đang cắt giảm số dư của mình và trả một mức lãi suất cực kỳ thấp, bạn vẫn có thể phải trả rất nhiều khoản phí lãi suất - trên thực tế là hơn 1.000 đô la.
Và nếu bạn bị tính phí gộp 18% hàng ngày - gần với lãi suất thẻ tín dụng trung bình - bạn sẽ phải trả 5.236 đô la tiền lãi sau năm năm. Đó là một khoản chi phí bổ sung đáng kể và có thể khiến việc thanh toán số dư của bạn khó khăn hơn nhiều.
Kết luận
Lãi suất gộp có thể có lợi hoặc chống lại bạn tùy thuộc vào việc bạn đang vay hay gửi tiết kiệm. May mắn thay, bạn không cần phải là một thiên tài toán học để hiểu liệu lãi suất trên một tài khoản sẽ giúp ích hay làm hại bạn. Nếu bạn đang vay tiền, bạn muốn có mức lãi suất thấp nhất có thể, càng ít càng tốt. Nếu bạn đang đầu tư tiền, điều ngược lại sẽ áp dụng: Bạn không chỉ muốn có một mức lãi suất tốt, mà còn phải có một mức lãi suất sớm và thường xuyên. Và khi so sánh các khoản cho vay, APR của thẻ tín dụng, APY của tài khoản tiết kiệm hoặc lợi tức của các chứng khoán khác - hãy kiểm tra tần suất mà các hợp chất lãi suất và đảm bảo rằng bạn đang so sánh như thế nào. Về mặt danh nghĩa, hai mức lãi suất có thể giống nhau, nhưng nếu chúng kết hợp với nhau ở các tốc độ khác nhau, nó có thể tạo ra sự khác biệt lớn. Cho dù kiếm được hay trả nó, bản chất của lãi suất kép có nghĩa là nhận được nó sớm hơn sẽ tốt hơn cho ví của bạn theo cấp số nhân.
Bài Đăng Hàng Đầu
- Chỉ số PPI là gì? được tính thế nào? Tại sao PPI quan trọng?
Khám phá chỉ số PPI là gì, cách tính, tầm quan trọng của chỉ số này, ảnh hưởng đến chính sách tiền tệ, cách ứng dụng chỉ số này trong đầu tư ngoại hối.
2024-05-10
TOPONE Markets Analyst - 25 người giàu nhất thế giới năm 2023
So với năm ngoái, 25 người giàu nhất này nghèo hơn năm ngoái 200 tỷ USD nhưng vẫn có tài sản trị giá 2,1 nghìn tỷ USD.
2024-01-30
TOPONE Markets Analyst - Top 10 Cổ Phiếu AI Đáng Đầu Tư trong Năm 2024
Khám phá các cổ phiếu AI hàng đầu và tiềm năng trong năm 2024 như cổ phiếu Nvidia, Google, Facebook,… tìm hiểu để đầu tư thông minh, có tiềm năng tăng trưởng.
2024-01-22
TOPONE Markets Analyst - Tìm hiểu về robot đặt lệnh chứng khoán
Khám phá về robot đặt lệnh chứng khoán trong thị trường tài chính hiện đại. Tìm hiểu cách tối ưu hoá quyết định đầu tư và bảo vệ vốn khi sử dụng bot mua bán.
2023-11-03
TOPONE Markets Analyst
MIỄN PHÍ để giao dịch tại TOPONE.

Giúp nhà đầu tư kiếm tiền trong thị trường giao dịch với cơ chế hoàn tiền thường.